The Power of Political Contact: Insights From Professor Kate Dommett and Dr. James Weinberg

In an era of declining political trust, the relationship between citizens and their representatives has never been more critical. Many assume that trust is granted primarily to governments as a whole, leaving little room for individual politicians to make a difference. However, at Campaign Lab’s most recent academic series event featuring Professor Kate Dommett and Dr. James Weinberg from the University of Sheffield, compelling research was shared that challenges this assumption. Their findings suggest that the way politicians engage with constituents—especially the quality of their communication—can significantly influence public trust and satisfaction.

Political trust has been in decline for years, exacerbated by crises such as the COVID-19 pandemic. While many believe that only systemic reforms can restore confidence in democracy, Dommett and Weinberg argue that individual politicians also have a role to play. Rather than focusing solely on policy performance, they emphasise the importance of direct political contact, advocating for a more personalised and engaged approach to communication.

The Opportunity of Constituent Contact

Research from the psychological literature suggests that direct and intergroup contact can significantly improve trust. And, since COVID, there has been a surge in citizen engagement with constituency offices – if these democratic touchpoints are capable of rebuilding trust, then this increase presents a unique opportunity for politicians to strengthen their relationships with the public. But does the nature of this contact matter?


Dommett and Weinberg explored the following key questions:

  • Does the quality of political contact—personalised vs. automated—affect satisfaction and likelihood of future engagement?
  • Can positive political contact counteract distrust among citizens?

Key Findings: How Politicians Can Build Trust

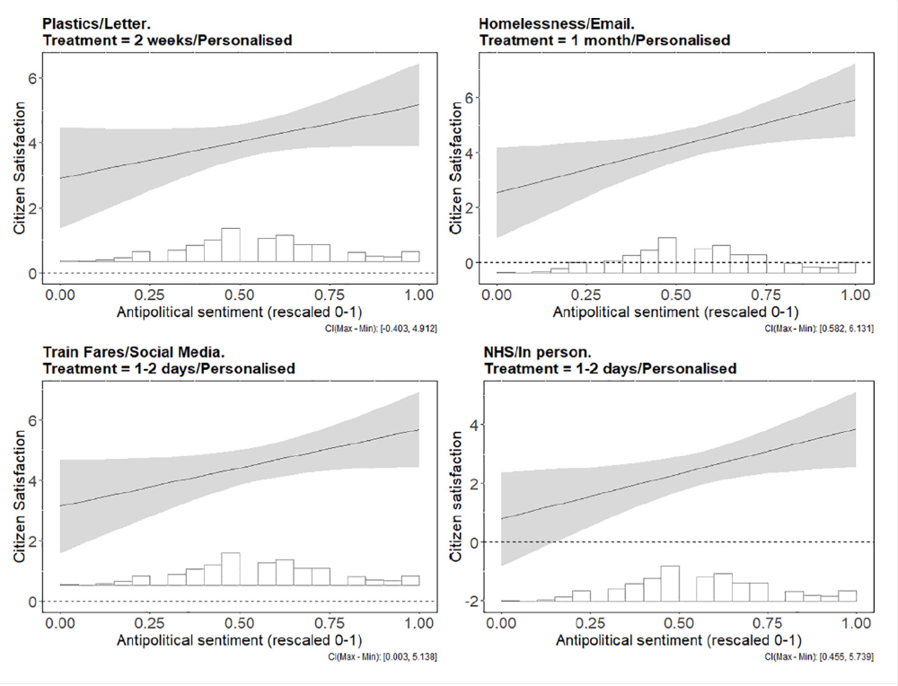
Their answers were unambiguous. Personalised responses did have an impact on satisfaction with political communication from MPs, but in order for that impact to be significant, it had to be done right. Dommett and Weinberg found that when automated responses were used to reply to constituents, those responses did not improve citizens’ satisfaction by a substantial amount: the effect sizes found tended to be between 0 and 1 points of difference (on a scale of 1-10), and few of those effects were statistically significant.

Bespoke responses, however, were a totally different story. Not only were the effect sizes much larger, but the time taken to respond didn’t seem to matter that much – indeed, the study finds that “personalised or engaged responses caused a four- to five-point increase in satisfaction across an 11-point scale regardless of the time it took for the MP to respond”. From a practical perspective, it is particularly encouraging that time taken does not dampen the effect of bespoke communications, since such communications often take longer to send out.

What’s more, the effect of personalised contact is even stronger amongst those who exhibited strong ‘anti-politics’ sentiment and disapproved of politicians in general. This result flew in the face of the expectations of the study’s authors; one might reasonably expect that the effect of contact with politicians would be muted in cases where the recipient held very strong anti-politics priors. That this does not appear to be the case suggests that personalised political contact is an important tool in improving trust not just with those citizens that are already engaged with democratic processes, but also among those with the least faith in our democracy. The study also found that personalised political communication increased political engagement among citizens making them more likely to contact their MP again in the future, and this effect was robust even among those with the strongest anti-politics attitudes.

The Future of Political Engagement

The findings from Dommett and Weinberg offer a roadmap for politicians seeking to improve their relationships with constituents. By investing in genuine, interactive communication, politicians can not only enhance immediate citizen satisfaction but also increase future engagement. Trust is not just a matter of performance at the governmental level—it is also built through everyday interactions between elected representatives and the people they serve.

As democracy faces growing challenges, could something as straightforward as improved communication be part of the solution? The research suggests that it just might. Politicians willing to prioritise meaningful engagement over mere quantity of responses may find themselves at the forefront of a movement to repair the fractured relationship between the public and their representatives.

——

Recording

Full Paper